文丨杨梦祺医生

患者往往都很清楚「腋窝淋巴结」和「锁骨上淋巴结」,当我们放疗医生和患者提及「内乳淋巴结」时,患者常常就有点迷惑了,一个个问题接踵而至:
内乳淋巴结究竟在哪里?手术没有处理吗?
照射内乳区域会不会延长照射次数或扩大照射范围?
照射内乳有什么副作用?会不会增加治疗费用?

那么今天我们就来聊聊「内乳淋巴结」和「内乳区域照射」

内乳淋巴结在哪里?
内乳淋巴结也称为胸骨旁淋巴结,左、右两侧的内乳淋巴结各呈一条纵行的乳房内干,伴胸廓内动、静脉上行。一般约 3~7 枚,分布于第 1~6 前肋间,主要位于第 1~3 前肋间,前面是胸大肌,后面是胸膜。
除接受来自乳房的淋巴回流外,内乳淋巴结还接受来自前胸壁、肋胸膜前部、上腹壁和肝(经镰状韧带) 等部位的淋巴液。


内乳淋巴结如何处理?
乳腺癌可发生区域淋巴结转移,首先受累的主要是腋窝及内乳淋巴结,随后是锁骨上内侧淋巴结。
腋窝淋巴结阳性的乳腺癌患者发生内乳淋巴结受累的比例高于腋窝淋巴结阴性的患者,腋窝淋巴结广泛转移者以及肿瘤位于内侧或中央象限的乳腺癌患者内乳淋巴结受累比例更高。
随着精准放疗技术的日趋优化,内乳淋巴结的主要处理方式为「放疗」。
考虑手术创伤和患者获益,临床上不常规应用「乳腺癌内乳淋巴结清扫术」。

内乳淋巴结的放射治疗
根据内乳的解剖部位,当照射内乳淋巴结区域时,心肺的剂量会相应增高。尤其是左侧内乳淋巴引流区靠近心脏,左侧内乳照射更会增加心脏剂量。当然放疗技术也在不断地优化,旨在尽可能降低心肺等关键器官的剂量,确保心脏的剂量在安全范围之内。
Q
内乳淋巴结放疗是否利大于弊?
对于乳腺癌腋窝淋巴结阳性或者肿瘤位于内侧或中央象限的患者,术后选择性地对内乳和锁骨上内侧 (IM-MS)淋巴结进行放疗已经得到了广泛的应用。
既往一些研究发现包括内乳在内的区域淋巴结照射可以改善疾病的局部控制,但会增加其他非乳腺癌的死亡风险,患者的整体生存也未获益。
但也有研究显示对于高复发风险的患者,包括内乳的区域淋巴结照射可以降低复发转移风险,从而提高患者的总生存。因此,内乳淋巴结放疗一直是一个具有争议的话题。

我们先来看一下近五年关于内乳照射的大型临床研究结果
1
EORTC 22922/10925研究:这是一项来自欧洲癌症研究和治疗组织(EORTC)的 III 期临床研究,旨在评估 I-III 期乳腺癌患者术后接受内乳和锁骨上内侧(IM-MS)淋巴结照射是否能改善OS。
该研究的 10 年随访数据于 2013 年发表,表明内乳照射能降低乳腺癌复发和死亡率,但总体生存无明显获益。
15 年随访数据于 2020 年发表在Lancet Oncology杂志上。该研究共入组 4004 例 I–III 期乳腺癌患者(淋巴结阴性、肿瘤需位于中央/内象限和淋巴结阳性),随机分为照射内乳和锁骨上内侧 (IM-MS)组和非照射组。内乳照射范围为 1~4 肋间的内乳区,总照射剂量为 50 Gy,照射 25 次。中位随访 15 年后,两组的总生存、无病生存和无远处转移生存无明显差异。
15年随访结果显示 I-III 期乳腺癌患者接受包括内乳的区域淋巴结照射可降低乳腺癌复发和死亡风险,且不增加副反应,但是不能提高总生存和无病生存。




▲ A:总生存率;B:无病生存率;C:无远处转移生存率;D:乳腺癌死亡率。
2
KROG 08-06研究:这是一项来自韩国的多中心 III 期随机对照研究,旨在探索内乳照射是否可以改善淋巴结阳性的乳腺癌患者的无病生存DFS(Disease-free survival,DFS)。这项研究的结果于 2022 年发表在JAMA Oncology杂志上。
该研究共入组 735 例病理证实淋巴结阳性且接受改良根治或保乳术,清扫腋窝淋巴结≥ 8 个的乳腺癌患者,随机分为内乳照射组和不照内乳组,均接受乳腺或胸壁+锁骨上区照射,内乳照射范围为 1-3 肋间的内乳区。总照射剂量为 45~50.4 Gy,照射 25 次;保乳患者在照射 25 次后对瘤床再进行加量照射。
中位随访 8.5 年后,两组的DFS和总生存OS无明显差异。但对于肿瘤位于内象限和中央区的患者,内乳照射能显著提高DFS(7年DFS:91.8% vs 81.6%,p=0.008)。不良反应方面的结果显示照射内乳后患者放射性肺炎及心脏事件的发生率较低。

▲ A:无病生存率;B:乳腺癌死亡率;C:无远处转移生存率;D:总生存率
3
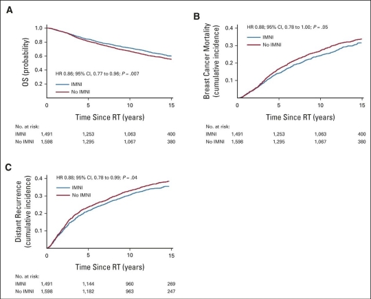
DBCG-IMN研究:这是一项来自丹麦的前瞻性队列研究,旨在内乳照射是否有利于改善淋巴结阳性的早期乳腺癌患者的总生存。这项研究的结果于 2022 年发表在JCO杂志上。
该研究共入组 3089 例早期淋巴结转移乳腺癌术后需接受放疗的患者。其中右侧乳腺癌患者(1491例)接受内乳照射,左侧乳腺癌患者(1598例)没有接受内乳照射。该研究中内乳照射范围为 1~4 肋间的内乳区,总照射剂量为 48 Gy,照射 24 次。
中位随访 14.8 年后,内乳照射组和未行内乳照射组的总生存分别为 60.1% 和 55.4%,乳腺癌死亡率分别为 31.7% 和 33.9%,远处复发风险分别为 35.6% 和 38.6%。该研究显示内乳照射降低了乳腺癌远处复发和死亡的风险,提高了患者的长期生存率。

▲ A:总生存率;B:乳腺癌死亡率;C:远处复发
4
还有另一项更早的NCIC-CTG MA-20研究,该研究的 10 年随访数据于 2015 年发表在新英格兰(NEJM)杂志上。
该研究结果与EORTC 22922/10925 研究结果一致,支持对腋窝淋巴结阳性或高危腋窝淋巴结阴性患者加锁骨上和内乳放疗。但这两个研究都把锁骨上和内乳淋巴结同时作为研究组的照射范围,因此难以判断内乳照射是否有助于改善治疗结局。
近两年的KROG 08-06 和DBCG-IMN研究则只关注了内乳照射的价值。

我们再来看一下目前指南的推荐
1
2024年CSCO乳腺癌诊疗指南推荐在以下患者中给予内乳淋巴引流区预防性照射可能获益更大:
(1)≥4 个腋窝淋巴结转移;
(2)原发肿瘤位于中央或内侧象限,且存在腋窝淋巴结转移;
(3)存在腋窝淋巴结转移,且合并至少 2 项以下危险因素:年龄≤40岁,肿块>2cm,3个腋窝淋巴结阳性,Ki67≥14%,组织学3级等;
(4)治疗前影像学诊断内乳淋巴结转移可能较大或者经病理证实为内乳淋巴结转移。该指南也鼓励患者积极参加国内外针对精准放疗技术应用下的内乳淋巴结放疗的前瞻性临床研究。
2
2024年NCCN指南指出由于相关的心脏和肺部毒性,内乳照射仍然存在一定争议。也列举了上述的四项临床研究结果。
如果内乳淋巴结没有临床或病理上的累及,是否照射内乳淋巴结由放疗科医生决定。根据专家组的意见,内乳照射应考虑风险与获益,包括长期器官(心脏和肺)毒性、患者合并症、年龄和预期寿命。如果照射内乳淋巴结,必须在正常组织剂量严格限制下进行治疗计划。

目前我国也有关于内乳照射的临床研究正在进行中,内乳放疗的最佳获益人群还需要进一步高级别循证证据明确。
我们在临床工作中,主要根据指南的推荐(CSCO指南有明确的获益人群推荐)、患者的复发转移风险和基础情况进行综合决策。
我们期望未来可以筛选出真正能从内乳照射中获益的患者,对这部分需要治疗的患者进行内乳照射。尽管随着放疗技术的进步,目前治疗的毒副反应已经较前明显减轻,但如果治疗是不必要的,即使轻微的毒性也是不可接受的。
参考文献
[1] 2024年CSCO乳腺癌诊疗指南.
[2] 2024年NCCN乳腺癌治疗指南.
[3] 术后内乳预防放疗研究进展和临床决策 中华放射肿瘤学杂志. 2019;28(12):949-952.
[4] Lancet Oncol. 2020 Dec;21(12):1602-1610.
[5] J Clin Oncol 2022 Dec 20;40(36):4198-4206.
[6] Jama Oncology 2022 8(1): 96-105.
声明:本文旨在为读者分享和科普,仅供参考,如有不适症状,请及时咨询医生。
END
工作人员
作者丨杨梦祺医生
排版丨林允夏子
审核丨尤秋婷医生
图源丨Pexels
苏逢锡教授团队
标签来源:放疗









